arctanx的导数是什么(arctanx的图像)

反三角函数的定义值及值域
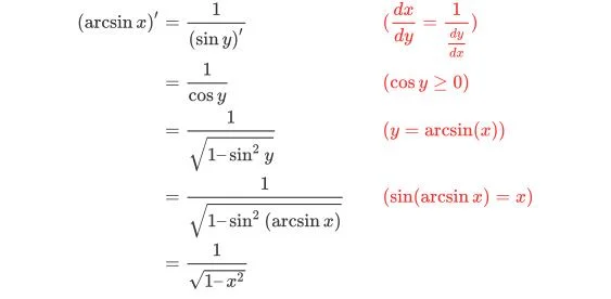
这里简单总结了反三角函数的定义、其对应的三角函数、其定义域、值域,其后利用反函数求导法则完成了所有反函数求导公式的推导证明。不难看出上述推导过程其实都并不复杂(除反正割、反余割函数外),若能熟练使用各种三角函数变换技巧则能轻松完成所有证明。

反三角函数的导数及其定义域

arcsin(x)导数

arccos(x)导数

arctan(x)导数

arcsec(x)导数
相关内容
-
海伦凯勒能够拥有三天光明她想看到些什么
海伦凯勒能够拥有三天光明她想看到些什么,,安妮 沙利文、麦西夫人,光色的变换,初升的旭日。《假如给我三天光明》是美国当代作家海伦·凯勒的散文代表作。该文的前半部分主要写了海伦变成盲聋人后的生活,后半部分则介绍了海伦的求学生涯。同时也介绍她体会不同的丰富多彩的生活以及她的慈善活动等等。她以一个身残志坚的柔弱女子的视角,告诫身体健全的人们应珍惜生命,珍惜造物主赐予的一切。《假如给我三天光明》是引人入胜...
-
最后一次讲演的行文思路
最后一次讲演的行文思路,,本文主要运用了举例论证。课文的第三段中列举了“一二一”事件和李公朴被害惨案,赞扬李先生和昆明青年的伟大献身精神的同时,揭露反动派反革命、反人民、搞谋杀的险恶企图。第五段中,列举希特勒、墨索里尼的例子,证明反动派必败、人民必胜的真理。演讲中,闻一多先生在严厉声讨反动派的无耻罪行和卑劣行径的同时,也高度颂扬了李先生为民主与和平而献身的爱国主义精神,而且还号召广大人民群众站起来...
-
中国人失掉自信力了吗6-9段
中国人失掉自信力了吗6-9段,,第三部分(6-9):正面提出观点。论述有并不失掉自信力的中国人在,他们是“中国的脊梁”。《中国人失掉自信力了吗》作者思路:文章第1段摆出对方论据,第2段紧接着摆出对方论点。第3至5段,作者承认所摆出的论据是事实,是“真”的,但推不出“中国人失掉自信力”的结论,它们不能证明论点。他们早已失掉自信力,只是曾经有过“他信力”,现在发展着“自欺力”,因此现在叫嚷“中国人失掉...
-
无言之美中作者从哪些方面证明了无言也能
无言之美中作者从哪些方面证明了无言也能产生美,,1、以“言尽一切”的相片与“言及部分”的图画相比,图画之美证明了无言之美。2、以文学作品的含蓄之美凸显无言之美。3、从音乐中的“无声胜有声”论证无言之美。4、从雕刻艺术的含蓄不流露来论述无言之美。《无言之美》是2010年1月江苏文艺出版社出版的图书,作者是朱光潜。朱光潜(1897年9月19日-1986年3月6日),字孟实, 安徽省桐城 (今安徽枞阳县...
-
中国人失掉自信力了吗7-9段
中国人失掉自信力了吗7-9段,,段落大意: 第一部分(1~2段):揭示对方谬误。揭示对方论点及论据,暗示对方的论证以偏概全。 第二部分(3~5段):直接反驳。驳敌方论证。说明敌方论据不能证明其论点。 第三部分(6~8段):间接反驳。用事实证明正面论点的正确从而反驳敌论点。揭示敌论点虚假。 第四部分(9段):作出结论。直接驳论点揭示对方论点以偏概全,以表面概实质。中心论点:本文针对“中国人失掉自信力...
-
十种论证方法及其答题格式
十种论证方法及其答题格式,,十种论证方法及其答题格式:1、举例论证:列举确凿充分有代表性的事例进行论证。答题格式:使用了举例论证的论证方法,举...(概括事例)证明了....(观点、论点),从而使论证更具体、更有有说服力。2、道理论证:通过讲道理的方式证明论点,使论证更概括更深入。答题格式:使用了道理论证的论证方法,论证了.....观点,从而使论证更概括更深入。注:如果引用名人名言、格言警句、权威...
-
自然选择的证明的行文思路
自然选择的证明的行文思路,,自然选择的证明的行文思路:1.第一段:提出论点,在自然条件下生物的变异种,自然选择发挥了作用。2.第二段:从事理上推断自然选择、适者生存的合理性。3.第三段:物种起先是以变种形式存在,可以解释同一属内的许多物种很繁 盛、有大量变种等生物现象,而特创论则不能解释。4.第四段:自然选择可以解释生物的演化、改良、灭绝,以及可以规划大小 不等的类群等生物现象,而特创论则不能。《...
-
中国人失掉自信力了吗3到5段
中国人失掉自信力了吗3到5段,,1、直接反驳对方的论证,指出对方论据只能证明中国人失掉了“他信力”,发展着“自欺力”,而不能证明失掉了“自信力”。2、不能,对方的错误观点是“中国人失掉自信力了",因为信“地”信“物”信“国联”,从来就没有相信过自己;而现在的求神拜佛,则是在自欺了3、“他信力”、“自欺力”这是作者在本文里特地造的两个新词,用“自”和“他”,“信”和“欺”两对反义词衍义造成的。这是一...
-
未来的家四年级作文
未来的家四年级作文,,我未来的家非常神奇,可以像汽车那样行驶,不管是杭州、上海,还是日本、美国;都可以随意地来去。我未来的家更加神奇的地方还在于可以变来变去,什么长方体,还是圆柱体,或者是什么空中楼阁,神仙境地,都可以按照我的心愿去变换。我想自己未来的家可以随意行驶,还可以变来变去,这样就可以减轻我们的疲劳和一些不必要的麻烦。有一天,我想到国外去旅行,于是,我就让那所房子伸出了两张翅膀,房子收缩了...
-
五石之瓠的核心概念
五石之瓠的核心概念,,1、本文中,惠子仅从日常使用的层面上考虑五石之瓠的功用,庄子则超越了世俗经验的束缚,指出了五石之瓠的独特价值。本文运用了寓言深刻的故事,表现出庄子与众不同的思维方式。惠子用“五石之瓠”的事例,意在讥讽庄子的学说大而无用;庄子用“不龟手之药”的事例,意在证明自己的学说大有用处,只是惠子不能通晓领悟。这则寓言故事的寓意是,同样的东西用在不同的地方,其效果大不一样;对待事物,人们要...
-
五石之瓠庄子的心境
五石之瓠庄子的心境,,本文中,惠子仅从日常使用的层面上考虑五石之瓠的功用,庄子则超越了世俗经验的束缚,指出了五石之瓠的独特价值。本文运用了寓言深刻的故事,表现出庄子与众不同的思维方式。惠子用“五石之瓠”的事例,意在讥讽庄子的学说大而无用;庄子用“不龟手之药”的事例,意在证明自己的学说大有用处,只是惠子不能通晓领悟。这则寓言故事的寓意是,同样的东西用在不同的地方,其效果大不一样;对待事物,人们要更善...
-
自然选择的证明中的概念
自然选择的证明中的概念,,《自然选择的证明》阐明了这样的科学原理:自然界中生物的物种不是不变的,而是由低级向高级逐渐进化发展的。自然选择(Natural selection )指生物在生存斗争中适者生存、不适者被淘汰的现象,最初由C·R·达尔文提出。达尔文从生物与环境相互作用的观点出发,认为生物的变异、遗传和自然选择作用能导致生物的适应性改变。自然选择由于有充分的科学事实作根据,所以能经受住时间的...
-
阐述4个自信的认识
阐述4个自信的认识,,第一,道路自信。是对发展方向和未来命运的自信,坚持道路自信就是坚定走中国特色社会主义道路,这是实现社会主义现代化的必由之路,是由近代历史反复证明的客观真理,是党领导人民从胜利走向胜利的根本保证,也是中华民族走向繁荣富强,中国人民幸福生活的根本保证。为什么讲道路自信,我们这个道路是由近现代历史反复证明的客观真理,中国现在走特色社会主义的道路,有社会发展的客观规律在起作用。通过实...
-
阿Q正传如何看待精神胜利法
阿Q正传如何看待精神胜利法,,《阿Q正传》精神胜利法:阿Q的精神胜利法是一种心理防御机制。用鲁迅的话来解释:“中国人不敢正视各方面,用瞒和骗,造出奇妙的逃路,而自以为正路。在这路上,就证明着国民性的怯弱,懒惰,而又巧滑。一天一天地满足着,即一天一天地堕落着,但却又觉得日见其光荣。”即用高尚谎言来装饰切实的失败,以此来形成一种心理上的平衡。阿Q的精神胜利法具有典型特征,体现在他显示自身“胜利”,证明...
-
蝙蝠和雷达提出五个问题
蝙蝠和雷达提出五个问题,,这是一篇很有意思的科普知识短文,叙述思路清晰,逻辑性强,可以分为三部分。第一部分:通过飞机夜行这种现象,提出飞机怎么能安全飞行的问题,这是全文要说明的主要问题。第二自然段在文中起承上启下的作用。第二部分:科学家做了三次试验,结果证明,蝙蝠夜里飞行,靠的不是眼睛,而是用嘴和耳朵配合起来探路的。第三部分:科学家从蝙蝠身上受到启示,给飞机装上雷达,保证了飞机安全飞行。这项研究告...
-
五石之瓠内容概括
五石之瓠内容概括,,惠子用的“大瓠之种”事例,意在讥讽庄子的学说大而无用;庄子用的“不龟手之药”事例意在证明自己的学说大有用处,只是惠子不能通晓领悟。这篇寓言说明,同样的东西用在不同的地方,其效果大不一样。对待事物,要主动探寻规律,用善于发现的眼睛探索事物最大的价值,从而更好地利用它。原文:惠子谓庄子曰:“魏王贻我大瓠之种,我树之成而实五石。以盛水浆,其坚不能自举也。剖之以为瓢,则瓠落无所容。非不...
-
五代史伶官传序表现手法
五代史伶官传序表现手法,,《五代史伶官传序》一文通过五代后唐庄宗盛衰兴亡的史实来证明中心论点,运用的表现手法是对比。《五代史伶官传序》是宋代文学家欧阳修创作的一篇史论。此文通过对五代时期的后唐盛衰过程的具体分析,推论出:“忧劳可以兴国,逸豫可以亡身”和“祸患常积于忽微,而智勇多困于所溺”的结论,说明国家兴衰败亡不由天命而取决于“人事”,借以告诫当时北宋王朝执政者要吸取历史教训,居安思危,防微杜渐,...
-
五石之瓠分为几层
五石之瓠分为几层,,惠子用的“大瓠之种”事例,意在讥讽庄子的学说大而无用;庄子用的“不龟手之药”事例意在证明自己的学说大有用处,只是惠子不能通晓领悟。这篇寓言说明,同样的东西用在不同的地方,其效果大不一样。对待事物,要主动探寻规律,用善于发现的眼睛探索事物最大的价值,从而更好地利用它。惠子谓庄子曰:“魏王贻我大瓠之种,我树之成而实五石。以盛水浆,其坚不能自举也。剖之以为瓢,则瓠落无所容。非不呺然大...

